Statistik
Loading...

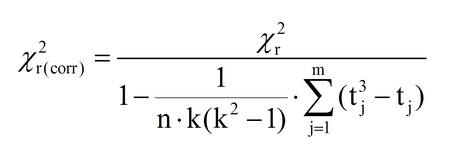
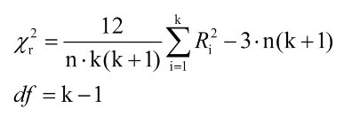
Friedman

Die Alternative zu ANOVA mit Messwiederholung