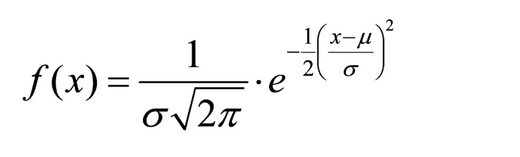
Die Normal- oder Gauß-Verteilung (nach Carl Friedrich Gauß) ist ein wichtiger Typ stetiger Wahrscheinlichkeitsverteilungen .Sie wird auch als Gaußsche Glockenkurve bezeichnet.

In der Natur finden wir keine perfekte Normalverteilung, aber wir können uns ihr nähern.

Mister Asker


Ausprägungen der Variablen in sehr guter Näherung durch eine Normalverteilung beschrieben. Das Aussehen einer Normalverteilung ähnelt sehr einer Glocke, wobei die Funktionswerte der Kurve gegen 0 streben, wenn man die x-Werte gegen Unendlich gehen lässt. Normalverteilungen sind symmetrisch um den Mittelwert verteilt (d.h. die Schiefe beträgt 0). Beim Mittelwert besitzt die Verteilung ihr Maximum. Die Fläche zwischen der Kurve und der x-Achse beträgt 1.



Standardnormalverteilung

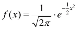
Eine besondere Form der Normalverteilung ist die Standardnormalverteilung.

Für sie gilt, dass der Mittelwert bei 0 liegt und die Standardabweichung bei 1, also µ=0 und σ=1. Damit nimmt die Funktionsgleichung folgende Form an:



Durch Standardisierung bzw. z-Transformation kann eine Normalverteilung in eine Standardnormalverteilung überführt werden. Auf diese Weise können unterschiedliche Verteilungen besser miteinander verglichen werden. Dazu setzt man als neue Variable z = (x-µ)/σ .

Die Tabelle zeigt die Verteilungsfunktion der Standardnormalverteilung.



Die Tabelle enthält z-Werte, die auf zwei Stellen hinter dem Komma gerundet sind: z.B. 1,07 oder 1,96. Gesucht wird die Wahrscheinlichkeit, daß maximal ein z-Wert von 1,96 auftritt ("Zeile": 1,9; "Spalte": 0,06). In der Zeile mit z = 1.9 und in der Spalte mit 0,06 bilden die gesuchte Wahrscheinlichkeit (1-a)=0.025 - (1-0.975)=0.025.